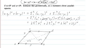
Chapter 01 Exercise 07 - Baby Rudin - Principles of Mathematical Analysis, solutions

Tonton & Download Video Musik Gratis

⬇ DOWNLOAD NOW
Kalau muncul iklan pop-up, tutup lalu klik tombol kembali

Download lagu Chapter 01 Exercise 07 - Baby Rudin - Principles of Mathematical Analysis, solutions secara gratis hanya untuk keperluan promosi. Dukung artis favorit kamu dengan membeli musik original di iTunes atau platform resmi lainnya.