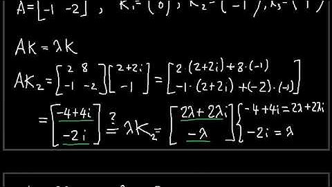
Linear Algebra - Lecture 38: Complex Numbers and Complex Eigenvalues

Tonton & Download Video Musik Gratis

⬇ DOWNLOAD NOW
Kalau muncul iklan pop-up, tutup lalu klik tombol kembali

Download lagu Linear Algebra - Lecture 38: Complex Numbers and Complex Eigenvalues secara gratis hanya untuk keperluan promosi. Dukung artis favorit kamu dengan membeli musik original di iTunes atau platform resmi lainnya.