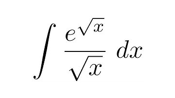
Integral of e^sqrt(x)/sqrt(x) with u-Substitution | Calculus 1 Exercises

Tonton & Download Video Musik Gratis

⬇ DOWNLOAD NOW
Kalau muncul iklan pop-up, tutup lalu klik tombol kembali

Download lagu Integral of e^sqrt(x)/sqrt(x) with u-Substitution | Calculus 1 Exercises secara gratis hanya untuk keperluan promosi. Dukung artis favorit kamu dengan membeli musik original di iTunes atau platform resmi lainnya.