Tonton & Download Video Musik Gratis
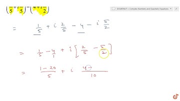
Download lagu Express of the complex number in the form `a + i b` . `(1/5+i2/5)-(4+i5/2)`... secara gratis hanya untuk keperluan promosi. Dukung artis favorit kamu dengan membeli musik original di iTunes atau platform resmi lainnya.