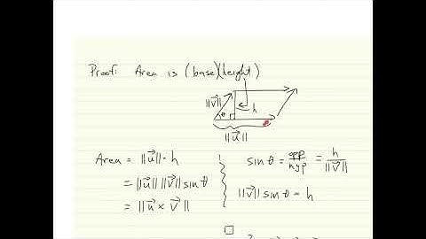
Theorem 3.5.1 (Part 3) (Relationships Involving Cross Product and Dot Product)

Tonton & Download Video Musik Gratis

⬇ DOWNLOAD NOW
Kalau muncul iklan pop-up, tutup lalu klik tombol kembali

Download lagu Theorem 3.5.1 (Part 3) (Relationships Involving Cross Product and Dot Product) secara gratis hanya untuk keperluan promosi. Dukung artis favorit kamu dengan membeli musik original di iTunes atau platform resmi lainnya.