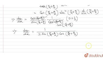
Differentiate w. r. t. X log tan(Ο€/4+ X/2) #class12maths most Important questions πŸ”₯(2022-23) #cbse

Tonton & Download Video Musik Gratis

⬇ DOWNLOAD NOW
Kalau muncul iklan pop-up, tutup lalu klik tombol kembali

Download lagu Differentiate w. r. t. X log tan(Ο€/4+ X/2) #class12maths most Important questions πŸ”₯(2022-23) #cbse secara gratis hanya untuk keperluan promosi. Dukung artis favorit kamu dengan membeli musik original di iTunes atau platform resmi lainnya.