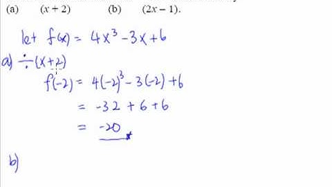
Remainder Theorem Explained! | Fast Polynomial Evaluation 🔢✨ Example 4

Tonton & Download Video Musik Gratis

⬇ DOWNLOAD NOW
Kalau muncul iklan pop-up, tutup lalu klik tombol kembali

Download lagu Remainder Theorem Explained! | Fast Polynomial Evaluation 🔢✨ Example 4 secara gratis hanya untuk keperluan promosi. Dukung artis favorit kamu dengan membeli musik original di iTunes atau platform resmi lainnya.