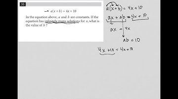
ax +by = b In the equation above, a and b are constants and 0 a b. Which of the following could...

Tonton & Download Video Musik Gratis

⬇ DOWNLOAD NOW
Kalau muncul iklan pop-up, tutup lalu klik tombol kembali

Download lagu ax +by = b In the equation above, a and b are constants and 0 a b. Which of the following could... secara gratis hanya untuk keperluan promosi. Dukung artis favorit kamu dengan membeli musik original di iTunes atau platform resmi lainnya.