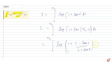
"Let `u=int_0^(pi//4)((cos x)/(sinx+cosx))^2dx\ a n d\ v=int_0^(pi//4)((s in x+cosx)/

Tonton & Download Video Musik Gratis

⬇ DOWNLOAD NOW
Kalau muncul iklan pop-up, tutup lalu klik tombol kembali

Download lagu "Let `u=int_0^(pi//4)((cos x)/(sinx+cosx))^2dx\ a n d\ v=int_0^(pi//4)((s in x+cosx)/ secara gratis hanya untuk keperluan promosi. Dukung artis favorit kamu dengan membeli musik original di iTunes atau platform resmi lainnya.