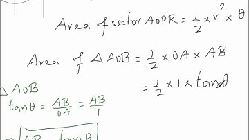
Proving the limit of sin(theta)/theta as theta approaches zero, then the limit of 1-cos(theta)/theta

Tonton & Download Video Musik Gratis

⬇ DOWNLOAD NOW
Kalau muncul iklan pop-up, tutup lalu klik tombol kembali

Download lagu Proving the limit of sin(theta)/theta as theta approaches zero, then the limit of 1-cos(theta)/theta secara gratis hanya untuk keperluan promosi. Dukung artis favorit kamu dengan membeli musik original di iTunes atau platform resmi lainnya.