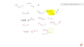
If a and b denote respectively the coefficients of xᵐ and xⁿ in the expansion of (1+x)ᵐ⁺ⁿ|RD Sharma

Tonton & Download Video Musik Gratis

⬇ DOWNLOAD NOW
Kalau muncul iklan pop-up, tutup lalu klik tombol kembali

Download lagu If a and b denote respectively the coefficients of xᵐ and xⁿ in the expansion of (1+x)ᵐ⁺ⁿ|RD Sharma secara gratis hanya untuk keperluan promosi. Dukung artis favorit kamu dengan membeli musik original di iTunes atau platform resmi lainnya.