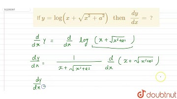
Differentiate y=log(𝑥+√(𝑥^2+a^2 )) w.r.t. 𝑥 #cbse2026 #maths #class12maths #class12maths #cbse202

Tonton & Download Video Musik Gratis

⬇ DOWNLOAD NOW
Kalau muncul iklan pop-up, tutup lalu klik tombol kembali

Download lagu Differentiate y=log(𝑥+√(𝑥^2+a^2 )) w.r.t. 𝑥 #cbse2026 #maths #class12maths #class12maths #cbse202 secara gratis hanya untuk keperluan promosi. Dukung artis favorit kamu dengan membeli musik original di iTunes atau platform resmi lainnya.