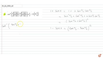
Prove that Q10. Cot inverse (√1+Sinx + √1-Sinx)/(√1+Sinx - √1-Sinx) = x/2 || miscellaneous ch2 12th

Tonton & Download Video Musik Gratis

⬇ DOWNLOAD NOW
Kalau muncul iklan pop-up, tutup lalu klik tombol kembali

Download lagu Prove that Q10. Cot inverse (√1+Sinx + √1-Sinx)/(√1+Sinx - √1-Sinx) = x/2 || miscellaneous ch2 12th secara gratis hanya untuk keperluan promosi. Dukung artis favorit kamu dengan membeli musik original di iTunes atau platform resmi lainnya.