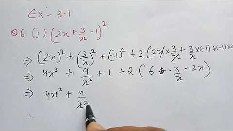
EX4C(3-8)EXPANSIONS PART X ICSE MATHS IX STD

Tonton & Download Video Musik Gratis

⬇ DOWNLOAD NOW
Kalau muncul iklan pop-up, tutup lalu klik tombol kembali

Download lagu EX4C(3-8)EXPANSIONS PART X ICSE MATHS IX STD secara gratis hanya untuk keperluan promosi. Dukung artis favorit kamu dengan membeli musik original di iTunes atau platform resmi lainnya.