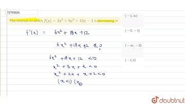
Q) The interval in whichthe functionf(x) = 2x^3 + 9x² + 12x – 1 is decreasing is #cbse2026 #maths

Tonton & Download Video Musik Gratis

⬇ DOWNLOAD NOW
Kalau muncul iklan pop-up, tutup lalu klik tombol kembali

Download lagu Q) The interval in whichthe functionf(x) = 2x^3 + 9x² + 12x – 1 is decreasing is #cbse2026 #maths secara gratis hanya untuk keperluan promosi. Dukung artis favorit kamu dengan membeli musik original di iTunes atau platform resmi lainnya.