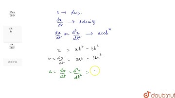
The position x of a particle varies with time, (t) as x = at2 – bt3. The acceleration will be zero

Tonton & Download Video Musik Gratis

⬇ DOWNLOAD NOW
Kalau muncul iklan pop-up, tutup lalu klik tombol kembali

Download lagu The position x of a particle varies with time, (t) as x = at2 – bt3. The acceleration will be zero secara gratis hanya untuk keperluan promosi. Dukung artis favorit kamu dengan membeli musik original di iTunes atau platform resmi lainnya.