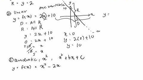
Algebra 1 EOC REVIEW - Domain and Range of linear and quadratic functions (A2A & A6A)

Tonton & Download Video Musik Gratis

⬇ DOWNLOAD NOW
Kalau muncul iklan pop-up, tutup lalu klik tombol kembali

Download lagu Algebra 1 EOC REVIEW - Domain and Range of linear and quadratic functions (A2A & A6A) secara gratis hanya untuk keperluan promosi. Dukung artis favorit kamu dengan membeli musik original di iTunes atau platform resmi lainnya.