Tonton & Download Video Musik Gratis
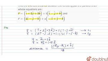
Download lagu Find the shortest distance between the following pairs of parallel lines whose equations are : secara gratis hanya untuk keperluan promosi. Dukung artis favorit kamu dengan membeli musik original di iTunes atau platform resmi lainnya.