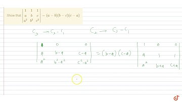
If `|[1,a,bc] , [1,b,ac] , [1,c,ab]|=lambda|[a^2,b^2,c^2] , [a,b,c] , [1,1,1]|` then `lambda` i...

Tonton & Download Video Musik Gratis

⬇ DOWNLOAD NOW
Kalau muncul iklan pop-up, tutup lalu klik tombol kembali

Download lagu If `|[1,a,bc] , [1,b,ac] , [1,c,ab]|=lambda|[a^2,b^2,c^2] , [a,b,c] , [1,1,1]|` then `lambda` i... secara gratis hanya untuk keperluan promosi. Dukung artis favorit kamu dengan membeli musik original di iTunes atau platform resmi lainnya.