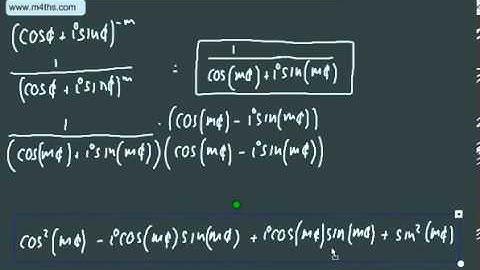
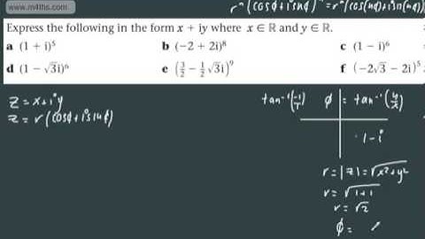
Further Pure 2 FP2 Complex Numbers 11 Applications of de Moivres theorem

Tonton & Download Video Musik Gratis

⬇ DOWNLOAD NOW
Kalau muncul iklan pop-up, tutup lalu klik tombol kembali

Download lagu Further Pure 2 FP2 Complex Numbers 11 Applications of de Moivres theorem secara gratis hanya untuk keperluan promosi. Dukung artis favorit kamu dengan membeli musik original di iTunes atau platform resmi lainnya.