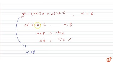
p(x)=x²-(k+6)x+2(2k-1) then find the value of (k) ,if alpha+beta=1/2alpha.beta

Tonton & Download Video Musik Gratis

⬇ DOWNLOAD NOW
Kalau muncul iklan pop-up, tutup lalu klik tombol kembali

Download lagu p(x)=x²-(k+6)x+2(2k-1) then find the value of (k) ,if alpha+beta=1/2alpha.beta secara gratis hanya untuk keperluan promosi. Dukung artis favorit kamu dengan membeli musik original di iTunes atau platform resmi lainnya.