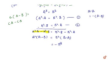
If A and B are two square matrices of order 3 × 3 which satisfy A B=A and B A=B, then (A+B)^7 is ...

Tonton & Download Video Musik Gratis

⬇ DOWNLOAD NOW
Kalau muncul iklan pop-up, tutup lalu klik tombol kembali

Download lagu If A and B are two square matrices of order 3 × 3 which satisfy A B=A and B A=B, then (A+B)^7 is ... secara gratis hanya untuk keperluan promosi. Dukung artis favorit kamu dengan membeli musik original di iTunes atau platform resmi lainnya.