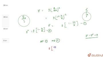
At what height from the ground will the value of g be the same as that in 10  km deep mine below ...

Tonton & Download Video Musik Gratis

⬇ DOWNLOAD NOW
Kalau muncul iklan pop-up, tutup lalu klik tombol kembali

Download lagu At what height from the ground will the value of g be the same as that in 10  km deep mine below ... secara gratis hanya untuk keperluan promosi. Dukung artis favorit kamu dengan membeli musik original di iTunes atau platform resmi lainnya.