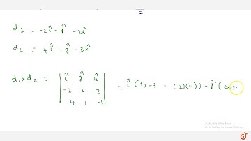
The area of the parallelogram whose diagonals are `vec(P)= 2hat(i)+3hat(j)` and `vec(Q)= hat(i)+4ha

Tonton & Download Video Musik Gratis

⬇ DOWNLOAD NOW
Kalau muncul iklan pop-up, tutup lalu klik tombol kembali

Download lagu The area of the parallelogram whose diagonals are `vec(P)= 2hat(i)+3hat(j)` and `vec(Q)= hat(i)+4ha secara gratis hanya untuk keperluan promosi. Dukung artis favorit kamu dengan membeli musik original di iTunes atau platform resmi lainnya.