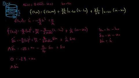
LINEARIZATION: OF NON-LINEAR FUNCTION USING TAYLOR EXPANSION SERIES

Tonton & Download Video Musik Gratis

⬇ DOWNLOAD NOW
Kalau muncul iklan pop-up, tutup lalu klik tombol kembali

Download lagu LINEARIZATION: OF NON-LINEAR FUNCTION USING TAYLOR EXPANSION SERIES secara gratis hanya untuk keperluan promosi. Dukung artis favorit kamu dengan membeli musik original di iTunes atau platform resmi lainnya.