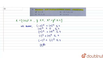
The relation R defined on the set N N of natural numbers by xRy iff 2x^(2) -3xy +y^(2) =0 is | ...

Tonton & Download Video Musik Gratis

⬇ DOWNLOAD NOW
Kalau muncul iklan pop-up, tutup lalu klik tombol kembali

Download lagu The relation R defined on the set N N of natural numbers by xRy iff 2x^(2) -3xy +y^(2) =0 is | ... secara gratis hanya untuk keperluan promosi. Dukung artis favorit kamu dengan membeli musik original di iTunes atau platform resmi lainnya.