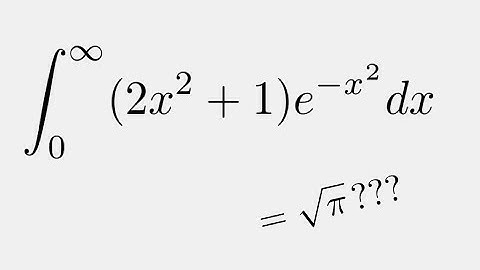
Fancy Gaussian Integral [UC Berkeley Integration Bee 2020]

Tonton & Download Video Musik Gratis

⬇ DOWNLOAD NOW
Kalau muncul iklan pop-up, tutup lalu klik tombol kembali

Download lagu Fancy Gaussian Integral [UC Berkeley Integration Bee 2020] secara gratis hanya untuk keperluan promosi. Dukung artis favorit kamu dengan membeli musik original di iTunes atau platform resmi lainnya.