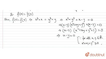
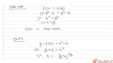
Prove that the mapping f: RR rarr RR defined by ,f(x)=x^(2)+1 for all x in RR is neither one-one...

Tonton & Download Video Musik Gratis

⬇ DOWNLOAD NOW
Kalau muncul iklan pop-up, tutup lalu klik tombol kembali

Download lagu Prove that the mapping f: RR rarr RR defined by ,f(x)=x^(2)+1 for all x in RR is neither one-one... secara gratis hanya untuk keperluan promosi. Dukung artis favorit kamu dengan membeli musik original di iTunes atau platform resmi lainnya.