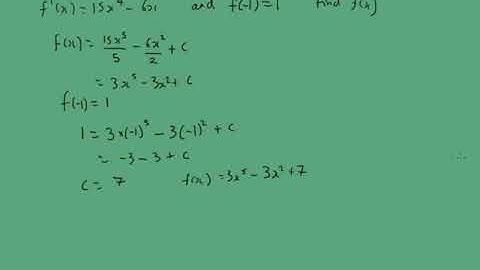
Exercise 9B, Episode 1, Finding the constant of integration, Pure Math 1.

Tonton & Download Video Musik Gratis

⬇ DOWNLOAD NOW
Kalau muncul iklan pop-up, tutup lalu klik tombol kembali

Download lagu Exercise 9B, Episode 1, Finding the constant of integration, Pure Math 1. secara gratis hanya untuk keperluan promosi. Dukung artis favorit kamu dengan membeli musik original di iTunes atau platform resmi lainnya.