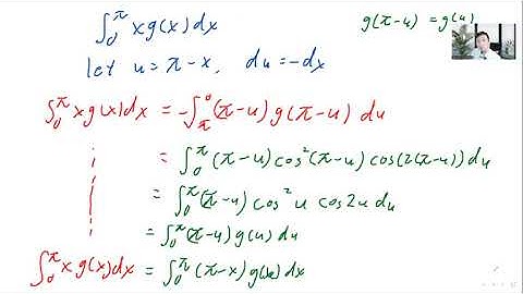
DSE 2020 M2 數延二 Section B Q9 題解 #Coordinate #Derivative #Integration

Tonton & Download Video Musik Gratis

⬇ DOWNLOAD NOW
Kalau muncul iklan pop-up, tutup lalu klik tombol kembali

Download lagu DSE 2020 M2 數延二 Section B Q9 題解 #Coordinate #Derivative #Integration secara gratis hanya untuk keperluan promosi. Dukung artis favorit kamu dengan membeli musik original di iTunes atau platform resmi lainnya.