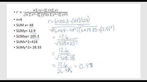
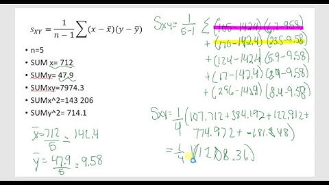
MDM4U - 3.1 - Scatter Plots and Linear Correlation - VIDEO

Tonton & Download Video Musik Gratis

⬇ DOWNLOAD NOW
Kalau muncul iklan pop-up, tutup lalu klik tombol kembali

Download lagu MDM4U - 3.1 - Scatter Plots and Linear Correlation - VIDEO secara gratis hanya untuk keperluan promosi. Dukung artis favorit kamu dengan membeli musik original di iTunes atau platform resmi lainnya.