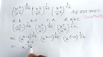
Show that: `1/(1+x^(b-a)+x^(c-a))+1/(1+x^(a-b)+\ x^(c-b))+1/(1+x^(b-c)+\ x^(a-c))=1`

Tonton & Download Video Musik Gratis

⬇ DOWNLOAD NOW
Kalau muncul iklan pop-up, tutup lalu klik tombol kembali

Download lagu Show that: `1/(1+x^(b-a)+x^(c-a))+1/(1+x^(a-b)+\ x^(c-b))+1/(1+x^(b-c)+\ x^(a-c))=1` secara gratis hanya untuk keperluan promosi. Dukung artis favorit kamu dengan membeli musik original di iTunes atau platform resmi lainnya.