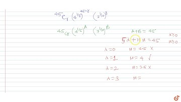
Binomial theorem: General term SE5: Number of irrational terms in (3^1/5+7^1/3)^36

Tonton & Download Video Musik Gratis

⬇ DOWNLOAD NOW
Kalau muncul iklan pop-up, tutup lalu klik tombol kembali

Download lagu Binomial theorem: General term SE5: Number of irrational terms in (3^1/5+7^1/3)^36 secara gratis hanya untuk keperluan promosi. Dukung artis favorit kamu dengan membeli musik original di iTunes atau platform resmi lainnya.