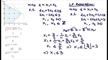
M-32. Gomory's Cutting Plane Method for Mixed IPP, and Branch and Bound Method

Tonton & Download Video Musik Gratis

⬇ DOWNLOAD NOW
Kalau muncul iklan pop-up, tutup lalu klik tombol kembali

Download lagu M-32. Gomory's Cutting Plane Method for Mixed IPP, and Branch and Bound Method secara gratis hanya untuk keperluan promosi. Dukung artis favorit kamu dengan membeli musik original di iTunes atau platform resmi lainnya.