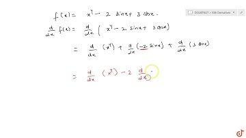
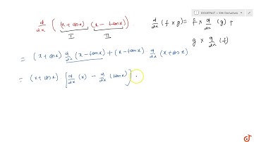
Differentiate the following with respect of ltmath gt ltmrow gt ltmi gtx lt/mi gt ltmo gt:

Tonton & Download Video Musik Gratis

⬇ DOWNLOAD NOW
Kalau muncul iklan pop-up, tutup lalu klik tombol kembali

Download lagu Differentiate the following with respect of ltmath gt ltmrow gt ltmi gtx lt/mi gt ltmo gt: secara gratis hanya untuk keperluan promosi. Dukung artis favorit kamu dengan membeli musik original di iTunes atau platform resmi lainnya.