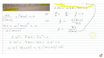
15.c) l+m+n=0 and 𝒍² +𝒎² +𝒏² =0 Find direction cosines l,m,n of two lines which satisfy equations

Tonton & Download Video Musik Gratis

⬇ DOWNLOAD NOW
Kalau muncul iklan pop-up, tutup lalu klik tombol kembali

Download lagu 15.c) l+m+n=0 and 𝒍² +𝒎² +𝒏² =0 Find direction cosines l,m,n of two lines which satisfy equations secara gratis hanya untuk keperluan promosi. Dukung artis favorit kamu dengan membeli musik original di iTunes atau platform resmi lainnya.