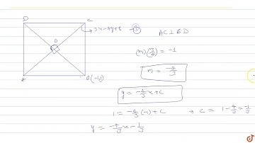
The diagonal of a square is 8x - 15y=0 and one vertex of square is (1,2) .Find the equations of side

Tonton & Download Video Musik Gratis

⬇ DOWNLOAD NOW
Kalau muncul iklan pop-up, tutup lalu klik tombol kembali

Download lagu The diagonal of a square is 8x - 15y=0 and one vertex of square is (1,2) .Find the equations of side secara gratis hanya untuk keperluan promosi. Dukung artis favorit kamu dengan membeli musik original di iTunes atau platform resmi lainnya.