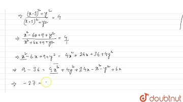
If z=x+iy,if the point p in the argand plane represents z.Findlocus of z satisfy the eqn |z - 3+i|=4

Tonton & Download Video Musik Gratis

⬇ DOWNLOAD NOW
Kalau muncul iklan pop-up, tutup lalu klik tombol kembali

Download lagu If z=x+iy,if the point p in the argand plane represents z.Findlocus of z satisfy the eqn |z - 3+i|=4 secara gratis hanya untuk keperluan promosi. Dukung artis favorit kamu dengan membeli musik original di iTunes atau platform resmi lainnya.