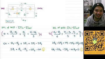
Problem 3.4 Alexander Sadiku - Given the circuit in fig. 3.53, calculate the currents i1 through i4

Tonton & Download Video Musik Gratis

⬇ DOWNLOAD NOW
Kalau muncul iklan pop-up, tutup lalu klik tombol kembali

Download lagu Problem 3.4 Alexander Sadiku - Given the circuit in fig. 3.53, calculate the currents i1 through i4 secara gratis hanya untuk keperluan promosi. Dukung artis favorit kamu dengan membeli musik original di iTunes atau platform resmi lainnya.