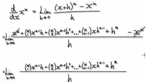
Derivative of x^n Proof | Differentiation of x^n = nx^(n-1) Proof

Tonton & Download Video Musik Gratis

⬇ DOWNLOAD NOW
Kalau muncul iklan pop-up, tutup lalu klik tombol kembali

Download lagu Derivative of x^n Proof | Differentiation of x^n = nx^(n-1) Proof secara gratis hanya untuk keperluan promosi. Dukung artis favorit kamu dengan membeli musik original di iTunes atau platform resmi lainnya.