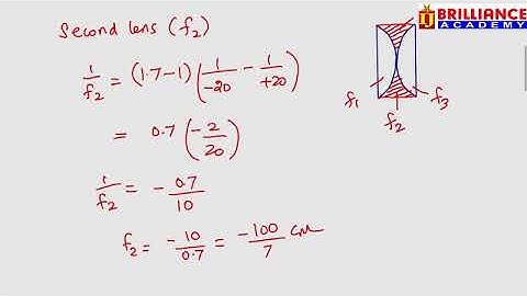
Two identical thin plano-convex glass lenses(refractive index 1.5) each having radius of curvature

Tonton & Download Video Musik Gratis

⬇ DOWNLOAD NOW
Kalau muncul iklan pop-up, tutup lalu klik tombol kembali

Download lagu Two identical thin plano-convex glass lenses(refractive index 1.5) each having radius of curvature secara gratis hanya untuk keperluan promosi. Dukung artis favorit kamu dengan membeli musik original di iTunes atau platform resmi lainnya.