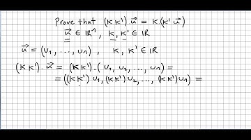
Linear Algebra 12, Proof for the distributivity of scalars and vectors

Tonton & Download Video Musik Gratis

⬇ DOWNLOAD NOW
Kalau muncul iklan pop-up, tutup lalu klik tombol kembali

Download lagu Linear Algebra 12, Proof for the distributivity of scalars and vectors secara gratis hanya untuk keperluan promosi. Dukung artis favorit kamu dengan membeli musik original di iTunes atau platform resmi lainnya.