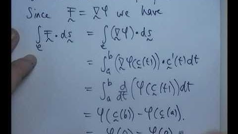
Math 392 Lecture 6 - the bulk of the lecture on the Fundamental theorem for line integrals

Tonton & Download Video Musik Gratis

⬇ DOWNLOAD NOW
Kalau muncul iklan pop-up, tutup lalu klik tombol kembali

Download lagu Math 392 Lecture 6 - the bulk of the lecture on the Fundamental theorem for line integrals secara gratis hanya untuk keperluan promosi. Dukung artis favorit kamu dengan membeli musik original di iTunes atau platform resmi lainnya.