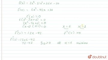
Find the maximum and minimum value of the function x³ + y³ - 12x -3y +20.

Tonton & Download Video Musik Gratis

⬇ DOWNLOAD NOW
Kalau muncul iklan pop-up, tutup lalu klik tombol kembali

Download lagu Find the maximum and minimum value of the function x³ + y³ - 12x -3y +20. secara gratis hanya untuk keperluan promosi. Dukung artis favorit kamu dengan membeli musik original di iTunes atau platform resmi lainnya.