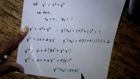
3. Taylor's Series Method | Problem#1 | Numerical Solution of Ordinary Differential Equation

Tonton & Download Video Musik Gratis

⬇ DOWNLOAD NOW
Kalau muncul iklan pop-up, tutup lalu klik tombol kembali

Download lagu 3. Taylor's Series Method | Problem#1 | Numerical Solution of Ordinary Differential Equation secara gratis hanya untuk keperluan promosi. Dukung artis favorit kamu dengan membeli musik original di iTunes atau platform resmi lainnya.