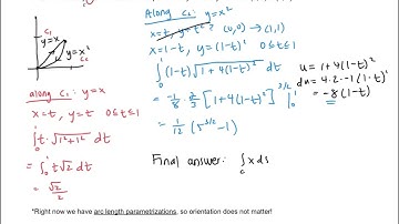
Calculus: Calculate the line integral ∫C xy^2 dS, where C is the right half of the circle x^2+y^2=9

Tonton & Download Video Musik Gratis

⬇ DOWNLOAD NOW
Kalau muncul iklan pop-up, tutup lalu klik tombol kembali

Download lagu Calculus: Calculate the line integral ∫C xy^2 dS, where C is the right half of the circle x^2+y^2=9 secara gratis hanya untuk keperluan promosi. Dukung artis favorit kamu dengan membeli musik original di iTunes atau platform resmi lainnya.