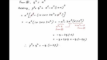
If one root is square of the other root of the equation x^2+p x+q^*=0, then the relation betweena...

Tonton & Download Video Musik Gratis

⬇ DOWNLOAD NOW
Kalau muncul iklan pop-up, tutup lalu klik tombol kembali

Download lagu If one root is square of the other root of the equation x^2+p x+q^*=0, then the relation betweena... secara gratis hanya untuk keperluan promosi. Dukung artis favorit kamu dengan membeli musik original di iTunes atau platform resmi lainnya.