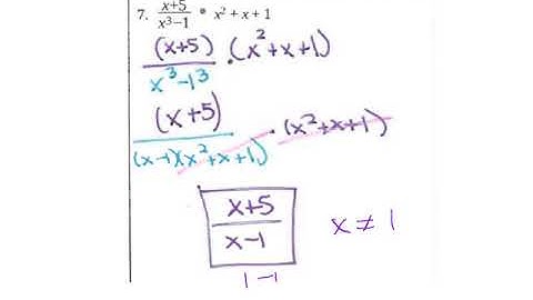
ALG2 CH8.4 Part 2 (Multiply and Divide Rational Expressions)

Tonton & Download Video Musik Gratis

⬇ DOWNLOAD NOW
Kalau muncul iklan pop-up, tutup lalu klik tombol kembali

Download lagu ALG2 CH8.4 Part 2 (Multiply and Divide Rational Expressions) secara gratis hanya untuk keperluan promosi. Dukung artis favorit kamu dengan membeli musik original di iTunes atau platform resmi lainnya.