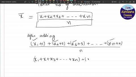
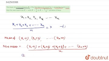
The mean of n observations is X̅. If the first item is increased by 1 , second by 2 and so on, th...

Tonton & Download Video Musik Gratis

⬇ DOWNLOAD NOW
Kalau muncul iklan pop-up, tutup lalu klik tombol kembali

Download lagu The mean of n observations is X̅. If the first item is increased by 1 , second by 2 and so on, th... secara gratis hanya untuk keperluan promosi. Dukung artis favorit kamu dengan membeli musik original di iTunes atau platform resmi lainnya.