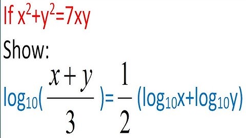
logx^2 + logy^2 = 7xy then prove that log x+y /3 = 1/2 of logx + logy #Sahasragade

Tonton & Download Video Musik Gratis

⬇ DOWNLOAD NOW
Kalau muncul iklan pop-up, tutup lalu klik tombol kembali

Download lagu logx^2 + logy^2 = 7xy then prove that log x+y /3 = 1/2 of logx + logy #Sahasragade secara gratis hanya untuk keperluan promosi. Dukung artis favorit kamu dengan membeli musik original di iTunes atau platform resmi lainnya.